Four Shades of Brown | Live Smart

Waterloo, ON

Team Updates

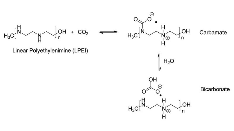
Polyethylenimine (PEI) formula
Polyethylenimine (PEI) formula
normanpowellSarun Balaranjan
Team Stream Item
normanpowellSarun Balaranjan


1 - 39.899854, 116.407421407.3 ppm 2- 39.904234, 116.378901405 ppm3- 39.907865, 116. 390876406.5 ppm4- 39.910078, 116.400042404 ppm

This is as of one- two years ago, the current concentration of CO2 in Beijing is around 410+ (higher than global overall)


normanpowellSarun Balaranjan
We averaged one broken chair per day in last 10 days...
We averaged one broken chair per day in last 10 days...
barneby1020Albert Wang
On the struggle.
On the struggle.
barneby1020Albert Wang
Two ends of the spectrum
Two ends of the spectrum
barneby1020Albert Wang
Work never stops
Work never stops
barneby1020Albert Wang
Late night delirium
Late night delirium
barneby1020Albert Wang
NASA Logo

SpaceApps is a NASA incubator innovation program.